A. 4. 62kA; B 5. 5kA; C. 5. 92kA; D. 6. 42kA。

作者: tihaiku 人气: - 评论: 0
问题 A. 4. 62kA; B 5. 5kA; C. 5. 92kA; D. 6. 42k
选项 A。
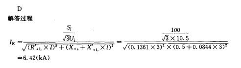
答案 D
解析

猜你喜欢

发表评论
更多 网友评论0 条评论)
暂无评论

Copyright © 2012-2014 恰考网 Inc. 保留所有权利。 Powered by tikuer.com

页面耗时0.0511秒, 内存占用1.02 MB, Cache:redis,访问数据库20次