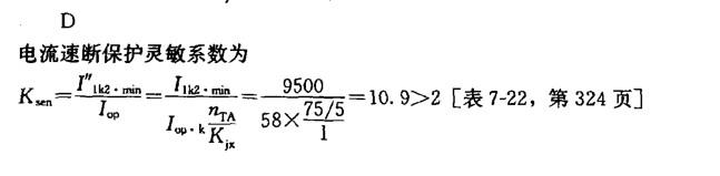
计箅电流速断保护的灵敏系数为( )。A. 13.2; B. 12. 6; C. 11. 5; D. 10. 9。

作者: tihaiku 人气: - 评论: 0
问题 计箅电流速断保护的灵敏系数为( )。
选项 A. 13.2; B. 12. 6; C. 11. 5; D. 10. 9。
答案 D
解析

相关内容:计箅,流速,保护,系数

猜你喜欢

发表评论
更多 网友评论0 条评论)
暂无评论

Copyright © 2012-2014 恰考网 Inc. 保留所有权利。 Powered by tikuer.com

页面耗时0.0660秒, 内存占用1.04 MB, Cache:redis,访问数据库17次