保护灵敏系数为( )。A. 3.55; B. 4.75; C 5.7; D. 6.7,

作者: tihaiku 人气: - 评论: 0
问题 保护灵敏系数为( )。
选项 A. 3.55; B. 4.75; C 5.7; D. 6.7,
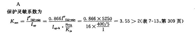
答案 A
解析

相关内容:保护,系数

猜你喜欢

发表评论
更多 网友评论0 条评论)
暂无评论

Copyright © 2012-2014 恰考网 Inc. 保留所有权利。 Powered by tikuer.com

页面耗时0.0453秒, 内存占用1.04 MB, Cache:redis,访问数据库20次