已知某电厂1lOV直流系统蓄电池仅带控制负荷,经常电流为25A,放电初期(0? Imin)放电电流为93A, 1?30min放电电流为25A, 30?60...

作者: tihaiku 人气: - 评论: 0
问题 已知某电厂1lOV直流系统蓄电池仅带控制负荷,经常电流为25A,放电初期(0? Imin)放电电流为93A, 1?30min放电电流为25A, 30?60min放电电流为25A,选用GF 型铅酸蓄电池,电池个数为53个,根据已知条件回答下列问题。 事故放电末期,放电系数为()。
选项 A. 0.1; B0. 12; C. 0.14; D. 0.16。
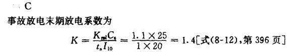
答案 C
解析

相关内容:电厂,系统,蓄电池,仅带,控制,负荷,电流,放电,初期

猜你喜欢

发表评论
更多 网友评论0 条评论)
暂无评论

Copyright © 2012-2014 恰考网 Inc. 保留所有权利。 Powered by tikuer.com

页面耗时0.0468秒, 内存占用1.04 MB, Cache:redis,访问数据库19次