若利用该建筑物全部柱子和基础内钢筋作为防雷引下线和接地装置,如略去每根柱 子距地面0. 5m以下的立筋表面积,则每个柱子基础内水平钢筋网的表面积总和是...

作者: tihaiku 人气: - 评论: 0
问题 若利用该建筑物全部柱子和基础内钢筋作为防雷引下线和接地装置,如略去每根柱 子距地面0. 5m以下的立筋表面积,则每个柱子基础内水平钢筋网的表面积总和是( )。
选项 A. 1.13m2; B1.93m2; C. 2. 13m2 D. 2.26m2。
答案 D
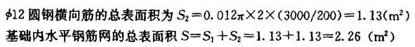
解析

相关内容:利用,建筑物,柱子,基础,钢筋,防雷,下线,接地,装置,每根,地面,立筋,表面积,水平,钢筋网,总和

猜你喜欢

发表评论
更多 网友评论0 条评论)
暂无评论

Copyright © 2012-2014 恰考网 Inc. 保留所有权利。 Powered by tikuer.com

页面耗时0.0488秒, 内存占用1.03 MB, Cache:redis,访问数据库16次