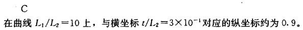
査得形状系数约为().A. 0.5;
B. 0.7;
C. 0.9;
D. 1.1。
相关内容:査得,形状,系数
- 根据尼古拉兹实验曲线,沿程阻力系数只与管壁的相对粗糙度有关而与流速无关的流动区域是( )。A.层流区
B.水力光滑区
C.水力光滑向水力粗糙的过渡区
...
- 为测定土壤渗透系数,将土样装在直径D=40cm的圆筒中,在100cm的水头差作用下,6小时的渗透水量为90L,两测压管距离为50cm,该土壤的渗透系数k为...
- 某梯形断面明渠均匀流,渠底宽度b =2.0m,水深h=1.2m,边坡系数m=1.0,渠道底坡i=0.0008,粗糙系数n=0.025,则渠中的通过流量Q应...
- 如图所示梁的正确挠曲线大致形状为()。
A. (b)(d)
B. (b)(c)
C. (a)(c)
D. (a)(d)
-
对应产生最大转差功率损耗系数时的转差率S1,电动机的最大转差功率损耗系数 Δp1与系数α的关系式为( )。
-
产生最大转差功率损耗系数时的转差率S1与系数α的关系表达式为()。
- 某城市一主干道,路面为沥青路面,采用灯具防护等级为IP65,回答以下问题
计箅路面照度时,维护系数应取()。A. 0. 6;
B. 0.65;
C....
- 某房间,长15m、宽8m、高3. 5m,照度标准3001x,选用T8型直管荧光灯,格栅 灯具,利用系数0.56,维护系数0.8,请设计几种方案。
方案(...
- 某房间,长15m、宽8m、高3. 5m,照度标准3001x,选用T8型直管荧光灯,格栅 灯具,利用系数0.56,维护系数0.8,请设计几种方案。
上述方...
- 某房间,长15m、宽8m、高3. 5m,照度标准3001x,选用T8型直管荧光灯,格栅 灯具,利用系数0.56,维护系数0.8,请设计几种方案。