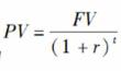
关于货币的时间价值,下列表述正确的有()。A.现值与终值成正比例关系 B.折现率越高,现值贴现因子就越小 C.现值等于终值除以终值复利因子 D.折现...

作者: tihaiku 人气: - 评论: 0
问题 关于货币的时间价值,下列表述正确的有()。
选项 A.现值与终值成正比例关系 B.折现率越高,现值贴现因子就越小 C.现值等于终值除以终值复利因子 D.折现率越低,终值复利因子就越大 E.终值复利因子等于现值贴现因子的倒数
答案 ABCE
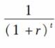
解析 计算多期终现值的公式为,可以看出,现值与终值正相关,其中,(1+r)t是终值复利因子,折现率越高,终值复利因子就越高,是现值贴现因子,折现率越高,现值贴现因子越低。

相关内容:货币,时间,价值,表述,现值,成正,折现率,贴现,因子,越小,复利

猜你喜欢

发表评论
更多 网友评论0 条评论)
暂无评论

访问排行

Copyright © 2012-2014 恰考网 Inc. 保留所有权利。 Powered by tikuer.com

页面耗时0.0378秒, 内存占用1.04 MB, Cache:redis,访问数据库19次