林先生在未来的10年内每年年初获得10000元,年利率为10%,则这笔年金的终值约为(  )元。A.175312 B.110000 C.159374 ...

作者: tihaiku 人气: - 评论: 0
问题 林先生在未来的10年内每年年初获得10000元,年利率为10%,则这笔年金的终值约为(  )元。
选项 A.175312 B.110000 C.159374 D.259374
答案 A
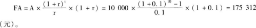
解析 期初年金终值的计算公式为:

相关内容:林先,未来,年内,10000元,年利率,年金,A.175312,B.110000,C.159374

猜你喜欢

发表评论
更多 网友评论0 条评论)
暂无评论

访问排行

Copyright © 2012-2014 恰考网 Inc. 保留所有权利。 Powered by tikuer.com

页面耗时0.0628秒, 内存占用1.04 MB, Cache:redis,访问数据库19次