隔壁老王采用分期付款的方式购买了一部iPhone6,期限为2年,每月底支付200元,年利率5%,那么老王购买的iPhone6价值(  )元。A.5000 ...

作者: tihaiku 人气: - 评论: 0
问题 隔壁老王采用分期付款的方式购买了一部iPhone6,期限为2年,每月底支付200元,年利率5%,那么老王购买的iPhone6价值(  )元。
选项 A.5000 B.5500 C.6000 D.4500
答案 D
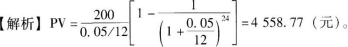
解析

相关内容:隔壁,老王,方式,iPhone6,期限,支付,200元,年利率,价值,A.5000

猜你喜欢

发表评论
更多 网友评论0 条评论)
暂无评论

访问排行

Copyright © 2012-2014 恰考网 Inc. 保留所有权利。 Powered by tikuer.com

页面耗时0.1108秒, 内存占用1.03 MB, Cache:redis,访问数据库13次