已知一个投资项目要求的回报率和现金流状况是:初始投资5000元,共投资2年,如果贴现率为3%,未来两年每年的现金流如下表所示。 如下表所示。 ...

作者: tihaiku 人气: - 评论: 0
问题 已知一个投资项目要求的回报率和现金流状况是:初始投资5000元,共投资2年,如果贴现率为3%,未来两年每年的现金流如下表所示。 如下表所示。 那么这个投资项目的净现值为(  )。
选项 A.6428.03 B.4328.03 C.5328.03 D.7328.03
答案 A
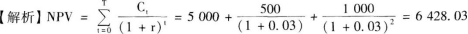
解析

相关内容:投资项目,要求,回报率,现金流,状况,初始,投资,5000元,贴现率,未来

猜你喜欢

发表评论
更多 网友评论0 条评论)
暂无评论

访问排行

Copyright © 2012-2014 恰考网 Inc. 保留所有权利。 Powered by tikuer.com

页面耗时0.0718秒, 内存占用1.03 MB, Cache:redis,访问数据库13次