以下关于现值的说法,正确的是(  )。A.当给定终值时,贴现率越高,现值越低 B.当给定利率及终值时,取得终值的时间越长,该终值的现值就越高 C.在其...

作者: tihaiku 人气: - 评论: 0
问题 以下关于现值的说法,正确的是(  )。
选项 A.当给定终值时,贴现率越高,现值越低 B.当给定利率及终值时,取得终值的时间越长,该终值的现值就越高 C.在其他条件相同的情况下,按单利计息的现值要低于用复利计息的现值 D.利率为正时,现值大于终值
答案 A
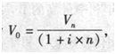
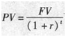
解析 B项,根据复利现值公式 可知,当给定利率及终值时,取得终值的时间越长,该终值的现值就越低;C项,单利现值公式为 在其他条件相同的情况下,按单利计息的现值要高于用复利计息的现值;D项,利率为正时,现值小于终值。

相关内容:现值,说法,贴现率,越低,利率,时间,越长,在其

猜你喜欢

发表评论
更多 网友评论0 条评论)
暂无评论

访问排行

Copyright © 2012-2014 恰考网 Inc. 保留所有权利。 Powered by tikuer.com

页面耗时0.0310秒, 内存占用1.05 MB, Cache:redis,访问数据库18次