小李每年储蓄增长5%,投资报酬率8%,第一年年末的储蓄额为10000元,10年后的终值为( )元。A.176677 B.100000 C.185...

作者: tihaiku 人气: - 评论: 0
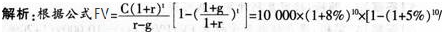
问题 小李每年储蓄增长5%,投资报酬率8%,第一年年末的储蓄额为10000元,10年后的终值为( )元。
选项 A.176677 B.100000 C.185522 D.250000
答案 A
解析

相关内容:小李,储蓄,增长,投资,报酬率,第一年,储蓄额,10000元,A.176677,B.100000,C.185...

猜你喜欢

发表评论
更多 网友评论0 条评论)
暂无评论

访问排行

Copyright © 2012-2014 恰考网 Inc. 保留所有权利。 Powered by tikuer.com

页面耗时0.0308秒, 内存占用1.04 MB, Cache:redis,访问数据库15次