李先生想要4年分期付款购买汽车,每年年末支付200000元,若年利率为6%,则该项分期付款相当于现在一次性支付现金( )元。A.467000 B.69...

作者: tihaiku 人气: - 评论: 0
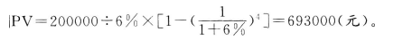
问题 李先生想要4年分期付款购买汽车,每年年末支付200000元,若年利率为6%,则该项分期付款相当于现在一次性支付现金( )元。
选项 A.467000 B.693000 C.763000 D.863251
答案 B
解析

相关内容:李先生,先生,汽车,支付,200000元,年利率,现金,A.467000,B.69...

猜你喜欢

发表评论
更多 网友评论0 条评论)
暂无评论

访问排行

Copyright © 2012-2014 恰考网 Inc. 保留所有权利。 Powered by tikuer.com

页面耗时0.0461秒, 内存占用1.05 MB, Cache:redis,访问数据库20次