某债券面值100元,票面利率6%,期限10年,每年付息。如果到期收益率为8%,则 其发行价格( )。A.高于100元 B.低于100元 C.等于10...

作者: tihaiku 人气: - 评论: 0
问题 某债券面值100元,票面利率6%,期限10年,每年付息。如果到期收益率为8%,则 其发行价格( )。
选项 A.高于100元 B.低于100元 C.等于100元 D.无法确定
答案 B
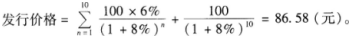
解析

相关内容:债券,面值,100元,票面,利率,期限,到期,收益率,价格

猜你喜欢

发表评论
更多 网友评论0 条评论)
暂无评论

访问排行

Copyright © 2012-2014 恰考网 Inc. 保留所有权利。 Powered by tikuer.com

页面耗时0.0278秒, 内存占用1.04 MB, Cache:redis,访问数据库17次