下列说法不正确的有( )。A.增长型年金终值的计算公式为 B.生活费支出、教育费支出和房贷支出都属于期初年金 C.(期初)增长型永续年金的现值计算...

作者: tihaiku 人气: - 评论: 0
问题 下列说法不正确的有( )。
选项 A.增长型年金终值的计算公式为 B.生活费支出、教育费支出和房贷支出都属于期初年金 C.(期初)增长型永续年金的现值计算公式(r>g)为PV=C/(r-g) D.NPV越大说明投资收益越高 E.内部回报率是投资者预期可以得到的收益率
答案 ABCE
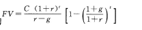
解析 选项A,当r>9或r<9时 {图1} 当r=g时,FV=tC(1+r)t-1;选项B,房贷支出的现金流发生在当期期末;选项C,应改为(期末)增长型永续年金;选项E,内部回报率是使现金流的现值之和等于零的利率。

相关内容:说法,年金,公式,生活费,支出,教育费,现值

猜你喜欢

发表评论
更多 网友评论0 条评论)
暂无评论

访问排行

Copyright © 2012-2014 恰考网 Inc. 保留所有权利。 Powered by tikuer.com

页面耗时0.0532秒, 内存占用1.05 MB, Cache:redis,访问数据库19次