某半年付息一次的债券票面额为1000元,票面利率8%,必要收益率为10%,期限为4年,如果按复利计息、复利贴现,其内在价值为( )元。A.926.40 ...

作者: tihaiku 人气: - 评论: 0
问题 某半年付息一次的债券票面额为1000元,票面利率8%,必要收益率为10%,期限为4年,如果按复利计息、复利贴现,其内在价值为( )元。
选项 A.926.40 B.927.90 C.935.37 D.968.52
答案 C
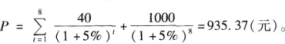
解析

相关内容:半年,债券,面额,1000元,票面,利率,收益率,期限,复利,贴现,内在,价值,A.926.40

猜你喜欢

发表评论
更多 网友评论0 条评论)
暂无评论

访问排行

Copyright © 2012-2014 恰考网 Inc. 保留所有权利。 Powered by tikuer.com

页面耗时0.0375秒, 内存占用1.05 MB, Cache:redis,访问数据库20次