某产品1~4月份销售额依次为200万元、230万元、250万元和300万元,权数依次为1、2、3、4,根据加权平均法,该产品5月份的销售预计为()万元。A...

作者: rantiku 人气: - 评论: 0
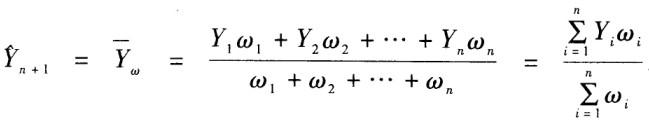
问题 某产品1~4月份销售额依次为200万元、230万元、250万元和300万元,权数依次为1、2、3、4,根据加权平均法,该产品5月份的销售预计为()万元。
选项 A:98 B:245 C:250 D:261
答案 D
解析 设一组时间序列为:Y1,Y2,…Yn,相对应的权数为:ω1,ω2,…ωn ,则产品5月份的销售额为(200*1+230*2+250*3+300*4)/(1+2+3+4)=261(万元)。

猜你喜欢

发表评论
更多 网友评论0 条评论)
暂无评论

访问排行

Copyright © 2012-2014 恰考网 Inc. 保留所有权利。 Powered by tikuer.com

页面耗时0.0520秒, 内存占用1.03 MB, Cache:redis,访问数据库19次