某设备的原始价值为K=1600元,每年低劣化增加值为λ=50元,设备的残值为700元,最佳更新年限为()年。A:6B:7C:8D:9

作者: rantiku 人气: - 评论: 0
问题 某设备的原始价值为K=1600元,每年低劣化增加值为λ=50元,设备的残值为700元,最佳更新年限为()年。
选项 A:6 B:7 C:8 D:9
答案 A
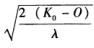
解析 采用低劣化数值法计算设备最佳更新期,其计算公式为:T=,式中,K0表示设备的原始价值,0表示设备更新时的残值,T表示设备已使用的年限,λ表示每年低劣化增加值。根据已知数据得:T==6(年)。
发表评论
更多 网友评论0 条评论)
暂无评论

访问排行

Copyright © 2012-2014 恰考网 Inc. 保留所有权利。 Powered by tikuer.com

页面耗时0.0878秒, 内存占用1.03 MB, Cache:redis,访问数据库19次