某商场历年的营业额数据分别为313万元,325万元,287万元,342万元,312万元,用加权平均法(权数分别为1,2,3.5,4,4.5)预测下一年度的...

作者: rantiku 人气: - 评论: 0
问题 某商场历年的营业额数据分别为313万元,325万元,287万元,342万元,312万元,用加权平均法(权数分别为1,2,3.5,4,4.5)预测下一年度的销售额为()万元。
选项 A:300.45 B:315.96 C:314.2 D:301.35
答案 B
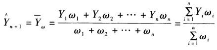
解析 加权平均法的计算公式为: 依据上式得:(313*1+325*2+287*3.5+342*4+312*4.5)/(1+2+3.5+4+4.5)=315.96(万元)。

猜你喜欢

发表评论
更多 网友评论0 条评论)
暂无评论

访问排行

Copyright © 2012-2014 恰考网 Inc. 保留所有权利。 Powered by tikuer.com

页面耗时0.0666秒, 内存占用1.03 MB, Cache:redis,访问数据库19次