某地区拟建一个加工厂,主要考虑生产中的运输成本。每年需要由A(2,5)地运来物资240吨,从B(5,3)地运来物资120吨,从C(3,7)地运来物资500...

作者: rantiku 人气: - 评论: 0
问题 某地区拟建一个加工厂,主要考虑生产中的运输成本。每年需要由A(2,5)地运来物资240吨,从B(5,3)地运来物资120吨,从C(3,7)地运来物资500吨,从D(6,3)地运来物资340吨。假定各种物资每吨公里的运输费用相同。根据原材料的运输量和里程,该加工厂应位于坐标()。
选项 A:(3.85,5.07) B:(3.98,3.98) C:(4.98,4.98) D:(6,4)
答案 A
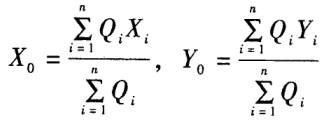
解析 根据重心法相应计算公式,计算有:,式中,Xi表示第i材料供应地在X方向的坐标;Yi表示第i材料供应地在Y方向的坐标;X0、Y0选定的厂址在X方向及Y方向的坐标;n表示主要材料供应地的数目;Qi表示第i材料的年运输量。240*2+120*5+500*3+340*6=3.85(公里)X0=(240*2+120*5+500*3+340*6)/(240+120+500+340)=3.85(公里)Y0=(240*5+120*3+500*7+340*3)/(240+120+500+340)=5.07(公里)根据计算结果,在坐标为(3.85,5.07)的地方建厂比较合适。

猜你喜欢

发表评论
更多 网友评论0 条评论)
暂无评论

访问排行

Copyright © 2012-2014 恰考网 Inc. 保留所有权利。 Powered by tikuer.com

页面耗时0.0370秒, 内存占用1.03 MB, Cache:redis,访问数据库20次