某商场1~6月份的销售额依次为45万元、56万元、38元、46万元、55万元、61万元,试用算术平均法预测7月份的销售额为()万元。A:38.52B:...

作者: rantiku 人气: - 评论: 0
问题 某商场1~6月份的销售额依次为45万元、56万元、38元、46万元、55万元、61万元,试用算术平均法预测7月份的销售额为()万元。
选项 A:38.52 B:52.34 C:50.17 D:46.25
答案 C
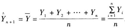
解析 算术平均数法的计算公式为:。其中,Yn+1表示第n+1期的预测值。7月份的销售额为:

猜你喜欢

发表评论
更多 网友评论0 条评论)
暂无评论

访问排行

Copyright © 2012-2014 恰考网 Inc. 保留所有权利。 Powered by tikuer.com

页面耗时0.0324秒, 内存占用1.03 MB, Cache:redis,访问数据库19次