某商场1~9月份产品销售额和加权移动平均数,如表3-6所示。令移动跨越期为3,距离预测期的近期数据到远期数据的权重值分别为3、2、1,运用加权移动平均法预...

作者: rantiku 人气: - 评论: 0
问题 某商场1~9月份产品销售额和加权移动平均数,如表3-6所示。令移动跨越期为3,距离预测期的近期数据到远期数据的权重值分别为3、2、1,运用加权移动平均法预测10月份的销售额为()万元。
选项 A:560 B:478 C:482 D:470
答案 B
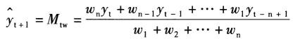
解析 加权移动平均法的预测模型为:。式中,为第t+1期的预测值,Mtw为第t期移动平均数,yt为时间序列第t期的数据,ωi为权重值(i=1,2,…,n),n为移动跨越期的期数。该方法以第t期加权移动平均数作为第t+1期的预测值。本题中,采用加权平均移动法计算10月份销售额的预测值:

猜你喜欢

发表评论
更多 网友评论0 条评论)
暂无评论

访问排行

Copyright © 2012-2014 恰考网 Inc. 保留所有权利。 Powered by tikuer.com

页面耗时0.0305秒, 内存占用1.03 MB, Cache:redis,访问数据库19次