某公司拟建一个加工厂,主要考虑运输成本进行厂址选择,分析人员在地图上设计了参照坐标,并确定了相关地址的坐标(单位:公里),分析表明:每年需要从A(300,...

作者: rantiku 人气: - 评论: 0
问题 某公司拟建一个加工厂,主要考虑运输成本进行厂址选择,分析人员在地图上设计了参照坐标,并确定了相关地址的坐标(单位:公里),分析表明:每年需要从A(300,500)地运来物资100吨,并向B(800,500)地运出物资240吨。假定各种物资每吨公里的运输费用相同,根据重心法,加工厂选址的最佳坐标应是()。
选项 A:(550,500) B:(653,500) C:(655,550) D:(660,550)
答案 B
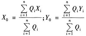
解析 重心法的计算公式为:。式中,Xi为第i材料供应地在X方向的坐标;Yi为第i材料供应地在Y方向的坐标;X0,Y0为选定的厂址在X方向及Y方向的坐标;n为主要材料供应地的数目;Qi为第i材料供应地的年运输量。该加工厂选址的最佳坐标为(653,500),具体计算为:

猜你喜欢

发表评论
更多 网友评论0 条评论)
暂无评论

访问排行

Copyright © 2012-2014 恰考网 Inc. 保留所有权利。 Powered by tikuer.com

页面耗时0.0386秒, 内存占用1.03 MB, Cache:redis,访问数据库19次