某企业采用平行顺序移动方式对一种零件进行加工,该零件投资批量为6件,有4道加工工序:按照加工顺序,单件每道工序作业时间依次为20分钟、10分钟、25分钟、...

作者: rantiku 人气: - 评论: 0
问题 某企业采用平行顺序移动方式对一种零件进行加工,该零件投资批量为6件,有4道加工工序:按照加工顺序,单件每道工序作业时间依次为20分钟、10分钟、25分钟、15分钟,假设零件移动用时为零。将一个批次的该零件全部生产出来所需要的时间为()分钟。
选项 A:120 B:200 C:245 D:300
答案 C
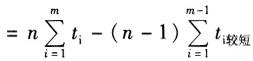
解析 平行顺序移动方式下,零件全部生产完成的生产周期可按以下公式计算:T平顺=。由题意,将一个批次的该零件全部生产出来所需要的时间为:T=6*(20+10+25+15)-5*(10+10+15)=245(分钟)。

猜你喜欢

发表评论
更多 网友评论0 条评论)
暂无评论

访问排行

Copyright © 2012-2014 恰考网 Inc. 保留所有权利。 Powered by tikuer.com

页面耗时0.0354秒, 内存占用1.03 MB, Cache:redis,访问数据库19次