共用题干某公司以500000元购进了一台生产加工机床,根据有关统计资料测算,其逐年维持费用Yt和逐年实际残值Ln(n=1,2,3,4,5,6,7)如下表所...

作者: rantiku 人气: - 评论: 0
问题 共用题干某公司以500000元购进了一台生产加工机床,根据有关统计资料测算,其逐年维持费用Yt和逐年实际残值Ln(n=1,2,3,4,5,6,7)如下表所示,试分析 根据以上资料,回答下列问题:
选项 该加工机床最少的年度使用费为()元。 A:202500 B:216700 C:208300 D:207500
答案 D
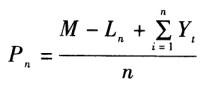
解析 利用面值法进行计算,公式为:。式中,Pn表示第n年的年度使用费;M表示设备原值;Ln表示第n年的实际残值;Yt表示第t年的维持费;n表示设备使用年限,其结果如下表所示。从计算结果看,年度使用费用以第4年为最少,所以生产加工机床的最佳更新期应为4年。。 从上表的计算结果看,该加工机床的最佳更新期为第4年,所以年度使用费用以第4年为最少。 设备更新前提是确定设备的最佳更新期。确定设备最佳更新期主要是依据设备的经济寿命。根据经济寿命来确定设备最佳的更新时机的原则是使设备各种费用总和为最小。

猜你喜欢

发表评论
更多 网友评论0 条评论)
暂无评论

访问排行

Copyright © 2012-2014 恰考网 Inc. 保留所有权利。 Powered by tikuer.com

页面耗时0.0294秒, 内存占用1.03 MB, Cache:redis,访问数据库19次