共用题干某电器厂组建新的生产车间生产新产品“彩虹”牌电视机,准备投入国内市场,电视机生产加工工序共有5道,生产时间分别为15分钟、20分钟、25分钟、16...

作者: rantiku 人气: - 评论: 0
问题 共用题干某电器厂组建新的生产车间生产新产品“彩虹”牌电视机,准备投入国内市场,电视机生产加工工序共有5道,生产时间分别为15分钟、20分钟、25分钟、16分钟、10分钟。电器厂每日工作8小时,A车间日产量为80台,时间利用系数为0.91,次品率为1.5%。根据以上资料,回答下列问题:
选项 春节即将到来,企业急于生产10000台电视机投入市场,应采取()方式。 A:顺序移动方式 B:平行移动方式 C:平行顺序移动 D:平行移动方式或平行顺序移动
答案 D
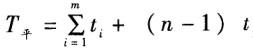
解析 用时最短的是平行移动方式,,式中,T平表示平行移动方式下零件加工的生产周期;n表示批量;m表示加工工序的道数;ti表示第i道工序的单件工时;t最长表示在各道工序中,单件工时最长的工序的单件工时。T=(15+20+25+16+10)+(10000-1)*25=86+249975=250061(分钟)。 平行移动方式的突出优点是充分利用平行作业的可能,使生产周期达到最短。平行顺序移动方式吸取顺序移动方式和平行移动方式的优点,生产周期较短,每道工序在加工一批零件时不发生停顿现象,使设备能连续、正常运转。这两种方式可以满足春节电视机使用量的增多。 顺序移动方式的优点是组织生产较简单,设备在加工零件时不出现停顿,工序间搬运次数少。 计算流水线的平均节拍r=Te/Q=βT0/Q,式中,r表示流水线的平均节拍;Te表示计划期流水线的有效工作时间;T0表示计划期流水线的制度工作时间;β表示工作时间有效利用系数,一般为0.9~0.96;Q表示计划期的产品产量(包括计划产量和预计废品量)。r=(0.91*8*60)/(80/0.985)=436.8/81.22=5.4(分/台) 一般来说,计算的设备数都不是整数,所取的设备数只能是整台数,这样设备负荷系数Ki为:Ki=Si/S,式中,Ki表示设备负荷系数;Si表示第i道工序所需工作地的计算数;Sei表示为第i道工序安排的实际工作地数。Ki=(25/5.4)/4=4/4=1。其中25/5.4只取整数部分。

猜你喜欢

发表评论
更多 网友评论0 条评论)
暂无评论

访问排行

Copyright © 2012-2014 恰考网 Inc. 保留所有权利。 Powered by tikuer.com

页面耗时0.0302秒, 内存占用1.03 MB, Cache:redis,访问数据库15次