共用题干某企业正在考虑某设备的技术改造问题,该设备的原始价值K0=16000元,每年低劣化增加值λ=1000元,更新时无残值。根据以上资料,回答下列问题:...

作者: rantiku 人气: - 评论: 0
问题 共用题干某企业正在考虑某设备的技术改造问题,该设备的原始价值K0=16000元,每年低劣化增加值λ=1000元,更新时无残值。根据以上资料,回答下列问题:
选项 随着使用年限的增长,设备的维护修理费用及燃料、动力消耗增加,这即是()。 A:设备的低劣化 B:设备的更新 C:设备的费用 D:设备的价值
答案 A
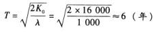
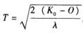
解析 技术改造就是在坚持科学技术进步的前提下,在企业现有的基础上,用先进技术代替落后技术,用先进的工艺和装备代替落后的工艺和装备,以改变企业落后的技术经济面貌,实现以内涵为主的扩大再生产,达到提高产品质量、促进产品更新换代、节约能源、降低消耗扩大生产规模、全面提高企业和社会经济效益的目的。 设备更新是指用技术性能更完善、经济效益更显著的新型设备来替换原有在技术上不能继续使用或经济效益上不宜继续使用的设备。设备更新的前提是确定设备的最佳更新期,而确定设备最佳更新期主要是依据设备的经济寿命。根据经济寿命来确定设备最佳的更新时机的原则是使设备各种费用总和为最小。 用低劣化数值法来确定设备最佳更新期,计算公式是:,式中,K0表示原始价值,O表示设备更新时的残值,T表示设备已使用的年限,λ表示每年低劣化增加值。因该企业设备更新时无残值,则可简化为:,故第5年的总费用最低,为经济使用年限。 随着T(设备已使用年限)的增长,按年平均的设备费用不断减少,但设备的维护修理费用及燃料、动力消耗增加,这就叫“设备的低劣化”

猜你喜欢

发表评论
更多 网友评论0 条评论)
暂无评论

访问排行

Copyright © 2012-2014 恰考网 Inc. 保留所有权利。 Powered by tikuer.com

页面耗时0.0312秒, 内存占用1.04 MB, Cache:redis,访问数据库19次