共用题干某电池生产企业对其生产的A、B、C三种电池的生产过程能力进行评估。经随机抽样并计算,得出如下数据:A电池的过程能力指数为1.8;B电池的过程能力指...

作者: rantiku 人气: - 评论: 0
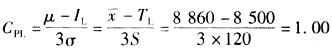
问题 共用题干某电池生产企业对其生产的A、B、C三种电池的生产过程能力进行评估。经随机抽样并计算,得出如下数据:A电池的过程能力指数为1.8;B电池的过程能力指数为0.7;C电池的设计寿命要求不低于8500小时,随机抽取的该电池样本的平均寿命为8860小时,样本标准偏差为120小时。根据以上资料,回答下列问题:
选项 C电池的过程能力指数为()。 A:0.83 B:1.00 C:1.20 D:1.34
答案 B
解析 过程能力指数大于1.67时,可以认为过程能力过剩。A电池的过程能力指数为1.8,超过了1.67,意味着粗活细做,这样必然影响生产效率,增加产品成本。 过程能力指数小于1时,意味着产品质量水平低。这时,要暂停加工,立即追查原因,并采取以下措施:(1)努力提高设备精度,并使工艺更为合理和有效,进一步提高操作技能与质量意识,改善原材料质量及提高加工性能,使过程能力得到适当的提高;(2)修订标准,若设计上允许,可降低技术要求,即用放宽公差的方法处理;(3)为了保证出厂产品的质量,在过程能力不足时,一般应通过全检后剔除不合格品,或实行分级筛选来提高产品质量。 过程能力指数

猜你喜欢

发表评论
更多 网友评论0 条评论)
暂无评论

访问排行

Copyright © 2012-2014 恰考网 Inc. 保留所有权利。 Powered by tikuer.com

页面耗时0.0710秒, 内存占用1.03 MB, Cache:redis,访问数据库19次