共用题干某工厂现生产某种零件30件,加工工序数为3,每道工序的单件加工时间:t1=5分钟,t2=5分钟,t3=10分钟。根据以上资料,回答下列问题:如果采...

作者: rantiku 人气: - 评论: 0
问题 共用题干某工厂现生产某种零件30件,加工工序数为3,每道工序的单件加工时间:t1=5分钟,t2=5分钟,t3=10分钟。根据以上资料,回答下列问题:
选项 如果采用顺序移动方式,生产这批零件共需要()分钟。 A:310 B:450 C:600 D:1800
答案 C
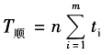
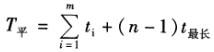
解析 采用顺序移动方式时,零件全部生产完成的生产周期的计算公式为:。根据题意,n=30件,m=3,t1=5分钟,t2=5分钟,t3=10分钟,则T顺=30*(5+5+10)=600(分钟)。 采用平行移动方式时,零件全部生产完成的生产周期的计算公式为:,根据题意,n=30件,m=3,t1=5分钟,t2=5分钟,t3=10、分钟,则T平=(5+5+10)+(30-1)*10=310(分钟)。 D项,平行顺序移动方式是将顺序移动方式和平行移动方式结合起来,进行优势互补的一种方式。

猜你喜欢

发表评论
更多 网友评论0 条评论)
暂无评论

访问排行

Copyright © 2012-2014 恰考网 Inc. 保留所有权利。 Powered by tikuer.com

页面耗时0.0401秒, 内存占用1.03 MB, Cache:redis,访问数据库18次