共用题干某企业有一台精密仪器原值为5000元,根据分析和测算,其逐年维持费用Y和逐年实际值L(n=1,2,3,4,5,6,7)均如表6-5所示。根据以...

作者: rantiku 人气: - 评论: 0
问题 共用题干某企业有一台精密仪器原值为5000元,根据分析和测算,其逐年维持费用Y和逐年实际值L(n=1,2,3,4,5,6,7)均如表6-5所示。 根据以上资料,回答下列问题:
选项 该精密仪器的最佳更新期应为()。 A:3年 B:4年 C:5年 D:6年
答案 B
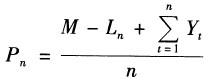
解析 确定设备最佳更新期主要是依据设备的经济寿命。根据经济寿命来确定设备最佳的更新时机的原则是使设备各种费用总和为最小。从表6-5中可知,设备在第四年时实际残值和维修费用相等,第四年之后,维修费用比设备实际残值高,继续使用将使费用增加,故在第四年更新设备,设备各种费用总和最小。 面值法是以同类型设备的统计资料为依据,分析计算其年度使用费用,以确定设备最佳更新期的一种方法。它适用于精密仪器等高、精、尖的设备。计算公式如下: 式中,Pn表示第n年的年度使用费;M表示设备原值;Ln表示第n年的实际残值;Yt表示第t年的维持费(t=1,2,3,…n);n表示设备使用年限。则将数值代入可得第一年到第七年的年度使用费分别为2500、2300、2167、2075、2080、2083、2114元,综合比较可知,第四年年度使用费最少,为2075元。 设备更新的前提是确定设备的最佳更新期。确定设备最佳更新期主要是依据设备的经济寿命。根据经济寿命来确定设备最佳的更新时机的原则是使设备各种费用总和为最小。 确定设备最佳更新期的方法主要有:①低劣化数值法,设K0代表设备的原始价值,O代表设备更新时的残值,T代表设备已使用的年限,则每年平均分摊的设备费用为(K0-O)/T;②面值法,是以同类型设备的统计资料为依据,分析计算其年度使用费用,以确定设备最佳更新期的一种方法。它适用于精密仪器等高、精、尖的设备。

猜你喜欢

发表评论
更多 网友评论0 条评论)
暂无评论

访问排行

Copyright © 2012-2014 恰考网 Inc. 保留所有权利。 Powered by tikuer.com

页面耗时0.0312秒, 内存占用1.04 MB, Cache:redis,访问数据库20次