M公司从N公司租人数控机床一台。合同约定租期5年,M公司租期每年年末支付给N公司租金10万元,假定年利率为10%,则M公司支付的租金现值合计是()万元。A...

作者: rantiku 人气: - 评论: 0
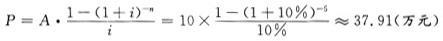
问题 M公司从N公司租人数控机床一台。合同约定租期5年,M公司租期每年年末支付给N公司租金10万元,假定年利率为10%,则M公司支付的租金现值合计是()万元。
选项 A:24.87 B:35.38 C:37.91 D:40.68
答案 C
解析 后付年金又称普通年金,即各期期末发生的年金。本题求后付年金现值。后付年金的现值是指一定时期内每期期末等额的系列收付款项的复利现值之和。其计算公式为:。式中:i为利率;n为计息期数;P为现值;A为每年的支付金额。

猜你喜欢

发表评论
更多 网友评论0 条评论)
暂无评论

访问排行

Copyright © 2012-2014 恰考网 Inc. 保留所有权利。 Powered by tikuer.com

页面耗时0.0343秒, 内存占用1.03 MB, Cache:redis,访问数据库19次