依据股利折现模型,影响普通股资本成本率的因素有()。A:普通股融资净额B:销售收入额C:股利政策D:营业资本额E:速动比率

作者: rantiku 人气: - 评论: 0
问题 依据股利折现模型,影响普通股资本成本率的因素有()。
选项 A:普通股融资净额 B:销售收入额 C:股利政策 D:营业资本额 E:速动比率
答案 AC
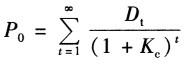
解析 用股利折现模型计算普通股的成本率的的公式为:。式中,P0为普通股融资净额,即发行价格扣除发行费用;Dt为普通股第t年的股利;为普通股投资必要报酬率,即普通股资本成本率。运用上列模型测算普通股资本成本率,因具体的股利政策而有所不同。如果公司采用固定股利政策,即每年分派现金股利D元,则资本成本率可按下式测算:Kc=D/P0。因此,影响普通股资本成本率的因素为普通股融资净额和股利政策。

猜你喜欢

发表评论
更多 网友评论0 条评论)
暂无评论

访问排行

Copyright © 2012-2014 恰考网 Inc. 保留所有权利。 Powered by tikuer.com

页面耗时0.0382秒, 内存占用1.03 MB, Cache:redis,访问数据库14次