共用题干某企业经过调查研究与分析,确认该企业的销售额和所需销售人员成正比,根据过去5年的统计,建立了销售人员回归预测计算表:表中,X代表销售额,Y...

作者: rantiku 人气: - 评论: 0
问题 共用题干某企业经过调查研究与分析,确认该企业的销售额和所需销售人员成正比,根据过去5年的统计,建立了销售人员回归预测计算表: 表中,X代表销售额,Y代表销售人员数。请根据上述资料,回答下列问题:
选项 人力资源预测可分为需求预测和供给预测,下列方法属于人力资源需求预测方法的有()。 A:德尔菲法 B:人员核查法 C:管理人员接续计划法 D:马尔可夫模型法
答案 A
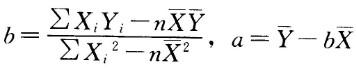
解析 本题考查一元回归分析法的计算。首先要求出一元线性回归方程Y=a+bX中的a、b,已知,其中为Yi的平均值,为Xi的平均值把数字代入公式即可求得b=0.04,a=4.6,则Y=4.6+0.04X。已知今年销售额将达到1600万元,则该企业约需要销售人员4.6+0.04*1600=68.6,约为69人。 本题考查转换比率分析法的计算。第一步计算分配率,56/(1+4+2)=8;第二步分配,销售人员4*8=32(人)。 本题考查人力资源需求的预测方法。选项BCD属于人力资源供给的预测方法。

猜你喜欢

发表评论
更多 网友评论0 条评论)
暂无评论

访问排行

Copyright © 2012-2014 恰考网 Inc. 保留所有权利。 Powered by tikuer.com

页面耗时0.0456秒, 内存占用1.03 MB, Cache:redis,访问数据库20次