共用题干假设某一陶瓷企业每年需消耗泥料800吨,每吨泥料的价格为20000元,每吨泥料的保管费率为10,单次订货成本为800元,订货提前期为10天,该企业...

作者: rantiku 人气: - 评论: 0
问题 共用题干假设某一陶瓷企业每年需消耗泥料800吨,每吨泥料的价格为20000元,每吨泥料的保管费率为10,单次订货成本为800元,订货提前期为10天,该企业每年的工作日为300天。根据以上资料,回答下列问题:
选项 该企业的泥料应采用()存放。 A:散堆方式 B:垛堆方式 C:货架方式 D:成组方式
答案 A
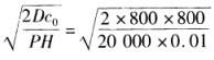
解析 经济订货批量EOQ==80(吨)。其中C0——单次订货费;D——货物的年需求量;P——货物单价;H——单位保管费率,即单位物料单位时间保管费与单位购买价格的比率。 每年订货的次数==10(次)。 两次订货之间的时间间隔=300/10=30(天)。 散堆是指将无包装的散货在仓库或露天货场上堆成货堆的存放方式。这种方法适用于不用包装的颗粒状、块状的大宗散货,如煤炭、矿砂、散粮、海盐等。这种堆码方式简便,便于采用机械设备装卸、堆垛,节省包装费用及仓容和运费。 货物保管的主要原则是质量第一原则、科学合理原则、效率原则、预防为主原则。

猜你喜欢

发表评论
更多 网友评论0 条评论)
暂无评论

访问排行

Copyright © 2012-2014 恰考网 Inc. 保留所有权利。 Powered by tikuer.com

页面耗时0.0333秒, 内存占用1.04 MB, Cache:redis,访问数据库18次