M公司从N公司租人数控机床一台,合同约定租期两年,M公司每年年末支付给N公司租金5万元,假定年复利率10%,作为M公司支付的租金现值总计是()万元。A:4...

作者: rantiku 人气: - 评论: 0
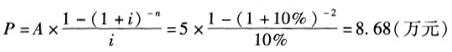
问题 M公司从N公司租人数控机床一台,合同约定租期两年,M公司每年年末支付给N公司租金5万元,假定年复利率10%,作为M公司支付的租金现值总计是()万元。
选项 A:4.87 B:5.38 C:8.68 D:10.68
答案 C
解析 根据年金现值公式,作为M公司支付的租金现值总计为:

猜你喜欢

发表评论
更多 网友评论0 条评论)
暂无评论

访问排行

Copyright © 2012-2014 恰考网 Inc. 保留所有权利。 Powered by tikuer.com

页面耗时0.0323秒, 内存占用1.03 MB, Cache:redis,访问数据库19次