某公司拟建一个加工厂,主要考虑运输成本进行厂址选择,分析人员在地图上设计了参照坐标,并确定了相关地址的坐标。分析表明:每年需要从A(300,500)地运出...

作者: tihaiku 人气: - 评论: 0
问题 某公司拟建一个加工厂,主要考虑运输成本进行厂址选择,分析人员在地图上设计了参照坐标,并确定了相关地址的坐标。分析表明:每年需要从A(300,500)地运出物资240吨。假定各种物资每吨公里的运输费用相同,根据重心法,加工厂选址的最佳坐标应是()。
选项 A:(550,500) B:(653,500) C:(655,550) D:(660,550)
答案 B
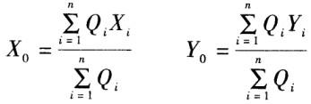
解析 重心法的计算公式:

式中,Xi表示第i材料供应地在X方向的坐标;Yi表示第i材料供应地在Y方向的坐标;X0,Y0表示选定的厂址在X方向及Y方向的坐标;n表示主要材料供应地的数目;Qi表示第i材料的年运输量。X=(300*100+800*240)/(100+240)=652.94,Y=(500*100+500*240)/(100+240)=500。

相关内容:公司,加工厂,运输,成本,厂址,分析,人员,设计,坐标,相关,地址

猜你喜欢

发表评论
更多 网友评论0 条评论)
暂无评论

访问排行

Copyright © 2012-2014 恰考网 Inc. 保留所有权利。 Powered by tikuer.com

页面耗时0.0761秒, 内存占用1.04 MB, Cache:redis,访问数据库18次