某企业2012年产品销售量的预测值为5万台,实际销售量为6万台,该企业预测的相对误差是()。A:16.67% B:20.00% C:22.56% D...

作者: tihaiku 人气: - 评论: 0
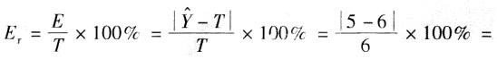
问题 某企业2012年产品销售量的预测值为5万台,实际销售量为6万台,该企业预测的相对误差是()。
选项 A:16.67% B:20.00% C:22.56% D:25.00%
答案 A
解析 计算相对误差的公式为16.67%。其中,E为绝对误差,T为真实值,为预测值。

相关内容:企业,2012年,产品,销售量,预测值,5万台,实际,6万台,预测,16.67%,20.00%,22.56%

猜你喜欢

发表评论
更多 网友评论0 条评论)
暂无评论

访问排行

Copyright © 2012-2014 恰考网 Inc. 保留所有权利。 Powered by tikuer.com

页面耗时0.0377秒, 内存占用1.05 MB, Cache:redis,访问数据库18次