共用题干 某零件投产批量为4件,经过5道工序加工,单件每道工序作业时间依次为20分钟、10分钟、20分钟、20分钟、15分钟。根据以上资料,回答下列问题...

作者: tihaiku 人气: - 评论: 0
问题 共用题干 某零件投产批量为4件,经过5道工序加工,单件每道工序作业时间依次为20分钟、10分钟、20分钟、20分钟、15分钟。根据以上资料,回答下列问题:
选项 将一个批次的该零件全部生产出来用时最短的零件移动方式适合于()。 A:大量生产 B:成批生产 C:单件生产 D:小批量生产
答案 A
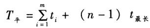
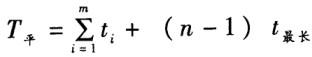
解析 平行移动方式是指一批零件中的每个零件在上道工序加工完成后,马上移到下道工序去加工,由此形成一批零件中的每个零件在各道工序上平行地进行加工。平行移动方式生产周期最短,零件全部生产完成的生产周期的计算公式为:。式中,T表示平行移动方式下零件加工的生产周期;t最长表示在各道工序中,单件工时最长的工序的单件工时;m表示加工工序的道数;n表示批量。
零件在工序间的移动方式有三种典型形式:顺序移动方式、平行移动方式、平行顺序移动方式。其中,平行移动方式生产周期最短,这种方式适合于大量大批生产,特别是组织流水线生产。
平行移动方式生产周期较其他两种要短。平行移动方式下,零件全部生产完成的生产周期的计算公式为:,根据题意,n=4件,m=5,t1=20分钟,t2=10分钟,t3=20分钟,t4=20分钟,t5=15分钟,则T=(20+10+20+20+15)+(4-1)*20=145(分钟)。
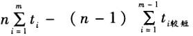
采用顺序移动方式时,一个批次的该零件全部生产完成的耗时为:T==4*(20+10+20+20+15)=340(分钟);采用平行移动方式时,一个批次的该零件全部生产完成的耗时为145(分钟);按平行顺序移动方式时,一个批次的该零件全部生产完成的耗时为:T平顺==4*(20+10+20+20+15)-(4-1)*(10+£=l10+20+15)=175(分钟)。由题意,耗时必须小于200分钟,则可采用平行移动方式或平行顺序移动方式。

相关内容:题干,零件,工序,加工,每道,作业,时间,20分钟,10分钟,15分钟,根据,资料,问题

猜你喜欢

发表评论
更多 网友评论0 条评论)
暂无评论

访问排行

Copyright © 2012-2014 恰考网 Inc. 保留所有权利。 Powered by tikuer.com

页面耗时0.0527秒, 内存占用1.05 MB, Cache:redis,访问数据库20次