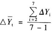
某企业利润总额的历史资料如表3-2所示。试用算术平均数法预测下一年度的利润总额为()亿元。A:92.5
B:92.9
C:92.7
D:73.9
相关内容:企业,利润,总额,历史资料,3-2所示,算术,平均数,预测,年度,亿元
- 某瓶装水生产企业进行市场调查,了解市场上销售的瓶装水的品牌、特征、质量和销售量信息。这种市场调查属于对( )的调查。A.市场需求
B.顾客满意度
...
- A公司2015年12月31日的资产负债表显示,公司的资产总额为10亿元,负债总额为6亿元,所有者权益总额为4亿元,则A公司的资产负债率为( ) 。A.40...
- 某苯胺产企业对技术改造问题进行经济可行性分析。目前企业投产的两条生产线每年生产苯胺合计25吨,但随着设备的老化和技术的落后,成本逐年增加,产品品质也有所下...
- 某苯胺产企业对技术改造问题进行经济可行性分析。目前企业投产的两条生产线每年生产苯胺合计25吨,但随着设备的老化和技术的落后,成本逐年增加,产品品质也有所下...
- 某苯胺产企业对技术改造问题进行经济可行性分析。目前企业投产的两条生产线每年生产苯胺合计25吨,但随着设备的老化和技术的落后,成本逐年增加,产品品质也有所下...
- 某苯胺产企业对技术改造问题进行经济可行性分析。目前企业投产的两条生产线每年生产苯胺合计25吨,但随着设备的老化和技术的落后,成本逐年增加,产品品质也有所下...
- 某企业正在研究其设备的合理使用、更新和改造问题,以实现对设备使用、设备管理以及相关费用的合理监控,提高设备使用效益,降低设备损耗和成本率。该企业有一台精密...
- 某企业正在研究其设备的合理使用、更新和改造问题,以实现对设备使用、设备管理以及相关费用的合理监控,提高设备使用效益,降低设备损耗和成本率。该企业有一台精密...
- 某企业生产单一农机产品。该企业在综合分析企业的生产技术现状以及其他因素的基础上决定采用流水线的生产组织方式进行产品装配。该流水线采用两班制的生产模式,产品...
- 某企业生产单一农机产品。该企业在综合分析企业的生产技术现状以及其他因素的基础上决定采用流水线的生产组织方式进行产品装配。该流水线采用两班制的生产模式,产品...