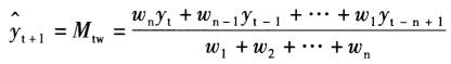
某商场1~9月份产品销售额和加权移动平均数,如表3-6所示。令移动跨越期为3,距离预测期的近期数据到远期数据的权重值分别为3、2、1,运用加权移动平均法预...
相关内容:商场,9月份,产品,销售额,移动,平均数,3-6所示,距离,预测,近期,数据,权重,平均法
- 在任何情况下,产品是否可以接受最终由( )决定。A.顾客
B.供应商
C.代理商
D.分销商
- 某手表厂机械手表产品中的一个齿轮外径设计尺寸为3.1mm,生产过程中所允许的误差为
(+0.001 5,-0.002 0)。某道工序承担并完成齿轮外径...
- 某苯胺产企业对技术改造问题进行经济可行性分析。目前企业投产的两条生产线每年生产苯胺合计25吨,但随着设备的老化和技术的落后,成本逐年增加,产品品质也有所下...
- 某苯胺产企业对技术改造问题进行经济可行性分析。目前企业投产的两条生产线每年生产苯胺合计25吨,但随着设备的老化和技术的落后,成本逐年增加,产品品质也有所下...
- 某苯胺产企业对技术改造问题进行经济可行性分析。目前企业投产的两条生产线每年生产苯胺合计25吨,但随着设备的老化和技术的落后,成本逐年增加,产品品质也有所下...
- 某苯胺产企业对技术改造问题进行经济可行性分析。目前企业投产的两条生产线每年生产苯胺合计25吨,但随着设备的老化和技术的落后,成本逐年增加,产品品质也有所下...
- 某企业生产单一农机产品。该企业在综合分析企业的生产技术现状以及其他因素的基础上决定采用流水线的生产组织方式进行产品装配。该流水线采用两班制的生产模式,产品...
- 下列财务数据中,能够在资产负债表中查到的有( )。A.存货
B.营业成本
C.应收账款
D.应付职工薪酬
E.未分配利润
- 新产品鉴定一般分为样品鉴定和小批试制鉴定。其中,样品鉴定的内容主要有( ) 。A.工艺文件和工艺装备是否齐全
B.零件加工装配质量是否符合质量标准
...
- 新产品开发战略的核心内容是确定企业新产品开发的领域、新产品开发的目标、达成目标的途径和方法。这些内容的不同组合方式,便形成了不同的新产品开发战略。一般来说...