某地区拟建一个加工厂,主要考虑生产中的运输成本。每年需要由A(2,2)地运来物资180吨,从B(3,5)地运来物资100吨,从C(5,4)地运来物资800...

作者: tihaiku 人气: - 评论: 0
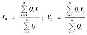
问题 某地区拟建一个加工厂,主要考虑生产中的运输成本。每年需要由A(2,2)地运来物资180吨,从B(3,5)地运来物资100吨,从C(5,4)地运来物资800吨,从D(8,5)地运来物资240吨。上述地址的坐标如图4-1所示(单位:公里)。假定各种物资每吨公里的运输费用相同。根据原材料的运输量和里程,该加工厂应位于坐标()。
选项 A:(4.98,3.98) B:(3.98,3.98) C:(4.98,4.98) D:(6,4)
答案 A
解析 根据重心法相应计算公式,计算有X=0=(180*2+100*3+800*5+240*8)/(180+100+800+240)=4.98,Y=(180*2+100*5+800*4+240*5)/(180+100+800+240)=3.98。根据计算结果,在坐标为(4.98,3.98)的地方建厂比较合适。

相关内容:地区,加工厂,生产,运输,成本,运来,物资,180吨,100吨,800...

猜你喜欢

发表评论
更多 网友评论0 条评论)
暂无评论

访问排行

Copyright © 2012-2014 恰考网 Inc. 保留所有权利。 Powered by tikuer.com

页面耗时0.0376秒, 内存占用1.05 MB, Cache:redis,访问数据库20次