共用题干 某电视机厂市场部对第9期的电视机销售量进行预测,前8期电视机实际销售量如表3-9所示(单位:万台)。若用一次移动平均法进行预测,当选取跨越期N...

作者: tihaiku 人气: - 评论: 0
问题 共用题干 某电视机厂市场部对第9期的电视机销售量进行预测,前8期电视机实际销售量如表3-9所示(单位:万台)。
选项 若用一次移动平均法进行预测,当选取跨越期N=3时,该厂电视机第9期销售量的预测值为()万台。 A:207 B:208 C:209 D:210
答案 A
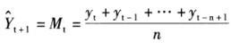
解析 简单移动平均法的预测模型为:。本案例中,=(205+209+207)/3=207(万台),即第9期的销售量为207万台。【说明】根据最新版考试教材,“一次移动平均法”改为“简单移动平均法”。


按照第1题中的一次移动平均法的预测模型对第8期的销售量进行预测,可得其预测量为209万台,而第8期的实际销售量为207万台,所以绝对误差为2万台。【说明】根据最新版考试教材,“一次移动平均法”改为“简单移动平均法”。


计算平均绝对误差,进行误差分析比较。绝对误差计算公式为:。该厂这8期总共销售量的平均值计算可得:(200+213+208+206+213+205+209+207)/8=207.65(万台)。因为时间序列中的每个数据是围绕着这一数据207.65万台上下波动的,故该厂电视机前8期销售量数据属于水平型数据。简单移动平均法一般适用于时间序列数据是水平型变动的预测,不适用于明显的长期变动趋势和循环型变动趋势的时间序列预测。


简单移动平均法一般适用于时间序列数据是水平型变动的预测,不适用于明显的长期变动趋势和循环型变动趋势的时间序列预测。本案例中,该厂前8期的销售数据正好是围绕着一个稳定值上下波动,故简单(一次)移动平均法适合对该厂电视机的销售量进行预测。【说明】根据最新版考试教材,“一次移动平均法”改为“简单移动平均法”。

相关内容:题干,电视机厂,市场部,电视机,销售量,预测,实际,3-9所示,单位,万台,若用,移动,平均法

猜你喜欢

发表评论
更多 网友评论0 条评论)
暂无评论

访问排行

Copyright © 2012-2014 恰考网 Inc. 保留所有权利。 Powered by tikuer.com

页面耗时0.0423秒, 内存占用1.05 MB, Cache:redis,访问数据库19次