共用题干 某企业批量生产一种零件,投产批量为6件,经过4道工序加工,按照加工顺序,单件每道工序作业时间依次为20分钟、10分钟、25分钟、15分钟,假设...

作者: tihaiku 人气: - 评论: 0
问题 共用题干 某企业批量生产一种零件,投产批量为6件,经过4道工序加工,按照加工顺序,单件每道工序作业时间依次为20分钟、10分钟、25分钟、15分钟,假设零件移动用时为零。
选项 将一个批次的该种零件全部生产出来,工序间搬运次数最多的零件移动方式是()。 A:顺序移动方式 B:平行移动方式 C:平行顺序移动方式 D:交叉移动方式
答案 B
解析 平行顺序移动方式下,一批零件全部生产完成的生产周期的计算公式如下:。式中,T平顺表示平行顺序移动方式下零件加工的生产周期;t较大表示比相邻工序单件工时均大的工序的单件工时;t较小表示比相邻工序单件工时均小的工序的单件工时。本案例中,生产周期=(20+10+25+15)+5*(20+25-10)=245(分钟)。


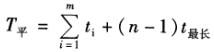
平行移动方式的突出优点是充分利用平行作业的可能,使生产周期达到最短。平行移动方式下,零件全部生产完成的生产周期的计算公式如下:最长。式中,T表示平行移动方式下零件加工的生产周期;t最长表示在各道工序中,单件工时最长的工序的单件工时。本案例中,所需要的最短时间=(20+10+25+15)+5*25=195(分钟)。


平行移动方式的突出优点是充分利用平行作业的可能,使生产周期达到最短。问题是一些工序在加工时,出现时干时停的现象,对设备运转不利,同时运输次数多,组织生产比较复杂。


顺序移动方式是指一批零件经多道工序加工时,将这批零件在上道工序全部加工完成后,再统一搬运到下道工序去加工的方式。这种方式的特点在于,零件在工序之间是按次序连续地整批运送,生产周期长。

相关内容:题干,企业,零件,工序,加工,顺序,每道,作业,时间,20分钟,10分钟,25分钟,15分钟,假设

猜你喜欢

发表评论
更多 网友评论0 条评论)
暂无评论

访问排行

Copyright © 2012-2014 恰考网 Inc. 保留所有权利。 Powered by tikuer.com

页面耗时0.0475秒, 内存占用1.05 MB, Cache:redis,访问数据库20次