共用题干 某企业正在考虑某设备的技术改造问题,该设备的原始价值K0=16000元,每年低劣化增加值λ=1000元,更新时无残值。请根据以上资料,回答下列...

作者: tihaiku 人气: - 评论: 0
问题 共用题干 某企业正在考虑某设备的技术改造问题,该设备的原始价值K0=16000元,每年低劣化增加值λ=1000元,更新时无残值。请根据以上资料,回答下列问题:
选项 确定该设备最佳更新期时,主要是依据该设备的()。 A:使用寿命 B:经济寿命 C:技术寿命 D:自然寿命
答案 B
解析 技术改造就是在坚持科学技术进步的前提下,在企业现有的基础上,用先进技术代替你把术,用先进的工艺和装备代替落后的工艺和装备,以改变企业落后的技术面貌,实现以内涵为主的扩大再生产,达到提高产品质量、促进产品更新换代、节约能源、降低消耗、扩大生产规模、全面提高企业和社会经济效益的目的。


设备更新是指用技术性能更完善、经济效益更显著的新型设备来替换原有在技术上不能继续使用或经济效益上不宜继续使用的设备。设备更新的前提是确定设备的最佳更新期,而确定设备最佳更新期主要是依据设备的经济寿命。根据经济寿命来确定设备最佳的更新时机的原则是使设备各种费用总和为最小。


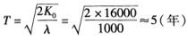
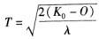
用低劣化数值法来确定设备最佳更新期,计算公式是:。式中,K0为的原始价值;O为设备更新时的残值;T为设备已使用的年限;λ为每年低劣化增加值。因该企业设备更新时无残值,则可简化为:,故第5年的总费用最低,为经济使用年限。

相关内容:题干,企业,正在,设备,技术改造,问题,价值,16000元,增加值,1000元,时无,根据,资料

猜你喜欢

发表评论
更多 网友评论0 条评论)
暂无评论

访问排行

Copyright © 2012-2014 恰考网 Inc. 保留所有权利。 Powered by tikuer.com

页面耗时0.0375秒, 内存占用1.05 MB, Cache:redis,访问数据库20次