共用题干 某公司以500000元购进了一台生产加工机床,根据有关统计资料测算,其逐年维持费用Yt和逐年实际残值Ln(n=1,2,3,4,5,6,7)如表...

作者: tihaiku 人气: - 评论: 0
问题 共用题干 某公司以500000元购进了一台生产加工机床,根据有关统计资料测算,其逐年维持费用Yt和逐年实际残值Ln(n=1,2,3,4,5,6,7)如表6-6所示。
选项 该加工机床最少的年度使用费为()元。 A:202500 B:207500 C:208333 D:216717
答案 B
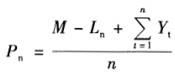
解析 利用面值法进行计算,公式为:式中,Pn为第n年的年度使用费;M为设备原值;Ln为第n年的实际残值;Yt为第t年的维持费;n为设备使用年限,其结果如表6-7所示。从计算结果看,年度使用费用以第4年为最少,所以生产加工机床的最佳更新期应为4年。



面值法是以同类型设备的统计资料为依据,分析计算其年度使用费用,以确定设备最佳更新期的一种方法。它适用于精密仪器等高、精、尖的设备。计算公式如下:。式中,Pn表示第n年的年度使用费;M表示设备原值;Ln表示第n年的实际残值;Yt表示第t年的维持费(t=1,2,3,…n);n表示设备使用年限。根据表6-7可以看出,最少的年度使用费为207500元。


设备更新的前提是确定设备的最佳更新期。确定设备最佳更新期的主要依据是设备的经济寿命。根据经济寿命来确定设备最佳更新时机的原则是使设备各种费用总和为最小。

相关内容:题干,公司,500000元,生产加工,机床,根据,有关,统计资料,费用,实际

猜你喜欢

发表评论
更多 网友评论0 条评论)
暂无评论

访问排行

Copyright © 2012-2014 恰考网 Inc. 保留所有权利。 Powered by tikuer.com

页面耗时0.0354秒, 内存占用1.05 MB, Cache:redis,访问数据库19次