共用题干 某企业领导班子正在组织研发部经理、财务部经理等部门经理分析研究某设备的更新与改造问题,该设备的原始价值为80000元,每年低劣增加值为2500...

作者: tihaiku 人气: - 评论: 0
问题 共用题干 某企业领导班子正在组织研发部经理、财务部经理等部门经理分析研究某设备的更新与改造问题,该设备的原始价值为80000元,每年低劣增加值为2500元,更新时的残值为19000元。
选项 该企业决定应用现代化的技术成果给该设备上新装置,以改变其落后结构,改善其技术性能,这属于()。 A:设备的改造 B:设备的更新 C:设备的大修 D:设备的升级换代
答案 A
解析 设备的经济寿命是考虑设备的有形磨损,根据最小使用费用(成本)的原则确定的设备寿命。经济寿命费用所对应的设备使用年限,就是该设备的经济寿命。设备经济寿命又称“最佳更新期”。


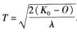
如果考虑残值,则其最佳更换年限的计算公式为:。由题意,T=[2*(80000-19000)/2500]1/2≈7(年)。


设备改造是指企业根据生产经营发展的需要,应用现代化的技术成果和先进经验,给旧设备装上新部件、新装置、新附件等,以改变旧设备的落后结构,改善旧设备的技术性能,提高其生产率。


设备费用由两部分组成:①投资费用,随着设备使用年限的延长,其分摊费用越少;②经营费用,由于有形磨损造成的设备低劣化,其值将逐年扩大。B项,由于技术进步,在实际工作中大多数的情况是在设备尚未达到其经济寿命年限,就应该用技术更先进、经济更合理的新设备,提前予以更新。C项,使用寿命不属于对设备费用的认识。

相关内容:题干,企业,领导班子,正在,组织,研发部,经理,财务部,部门,分析研究,设备,改造,问题,价值,80000元,增加值,2500...

猜你喜欢

发表评论
更多 网友评论0 条评论)
暂无评论

访问排行

Copyright © 2012-2014 恰考网 Inc. 保留所有权利。 Powered by tikuer.com

页面耗时0.0310秒, 内存占用1.05 MB, Cache:redis,访问数据库20次