企业某种原材料的年需求量为8000吨,单价为10000元/吨,单词订货费用为400元,每吨年保管费率为1.6%,则该种原材料的经济订货、批量为( )吨。A...

作者: tihaiku 人气: - 评论: 0
问题 企业某种原材料的年需求量为8000吨,单价为10000元/吨,单词订货费用为400元,每吨年保管费率为1.6%,则该种原材料的经济订货、批量为( )吨。
选项 A.100 B.150 C.200 D.250
答案 C
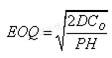
解析 本题的考点为第五章第四节:经济订购批量的计算(课程标注重点、内部资料提及)p126 (三)经济订货批量模型(常考点) 经济订货批量模型就是通过平衡采购进货成本和库存持有成本,确定一个最佳的订货数量来实现最低总库存成本的方法。 1.基本经济订货批量模型(重点) 2.数量折扣下的经济订货量(重点) 重点掌握:经济订货批量公式:

相关内容:企业,原材料,需求量,8000吨,单价,10000元,单词,订货,400元,保管,费率,经济

猜你喜欢

发表评论
更多 网友评论0 条评论)
暂无评论

访问排行

Copyright © 2012-2014 恰考网 Inc. 保留所有权利。 Powered by tikuer.com

页面耗时0.0438秒, 内存占用1.05 MB, Cache:redis,访问数据库19次