M公司从N公司租入数控机床一台。合同约定租期5年,M公司租期每年年末支付给N公司租金10万元,假定年利率为10%,则M公司支付的租金现值合计是()万元。A...

作者: tihaiku 人气: - 评论: 0
问题 M公司从N公司租入数控机床一台。合同约定租期5年,M公司租期每年年末支付给N公司租金10万元,假定年利率为10%,则M公司支付的租金现值合计是()万元。
选项 A.24.87 B.35.38 C.37.91 D.40.68
答案 C
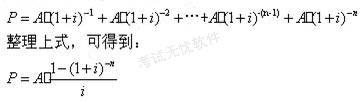
解析 本题考察后付年金现值。 考核第八章第一节后付现金现值的计算 P={[1-(1+I)-n]/i}(教师讲解、内部资料提及)p201 (1)后付年金的终值与现值。后付年金又称普通年金,即各期期末发生的年金。后付年金终值是一定时期内每期期末等额的系列收付款项的复利终值之和。设每年的支付金额为a,利率为i,计息期数为n,则后付年金终值的计算公式为: 式中的分式称作年金终值系数,记为(f/a,i,n),可通过直接查阅年金终值系数表获得。上式也可写作: f=a?(f/a,i,n)。 后付年金的现值是指一定时期内每期期末等额的系列收付款项的复利现值之和。其计算公式为:

相关内容:公司,数控机床,合同,约定,租期,租金,10万元,假定,年利率,支付,现值,万元

猜你喜欢

发表评论
更多 网友评论0 条评论)
暂无评论

访问排行

Copyright © 2012-2014 恰考网 Inc. 保留所有权利。 Powered by tikuer.com

页面耗时0.0529秒, 内存占用1.05 MB, Cache:redis,访问数据库20次