依据股利折现模型,影响普通股资本成本率的因素有()。A.普通股融资净额 B.销售收入额 C.股利政策 D.营业资本额 E.速动比率

作者: tihaiku 人气: - 评论: 0
问题 依据股利折现模型,影响普通股资本成本率的因素有()。
选项 A.普通股融资净额 B.销售收入额 C.股利政策 D.营业资本额 E.速动比率
答案 AC
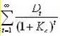
解析 股利折现模型为PO= ,PO为普通股融资净额,Dt为普通股第t年的股利,Kc为普通股权投资必要报酬率,即普通股本资本成本率。 考核第八章第二节普通股资本成本率的计算(课程讲解、内部资料提及)p204 (1)普通股资本成本率的测算。普通股的成本率的测算有两种主要方法:其一是用股利折现模型: 如果公司采用固定股利政策,即每年分派现金股利d元,则资本成本率可按下式测算: 如果公司采用固定增长股利的政策,股利固定增长率为g。则资本成本率按下式测算: 其二是资本资产定价模型,股票的资本成本率即为普通股投资的必要报酬率,而普通股投资的必要报酬率等于无风险报酬率加上风险报酬率,公式为:

相关内容:依据,股利,模型,影响,普通股,资本,成本率,融资,净额,销售,收入额,政策,营业,资本额,速动,比率

猜你喜欢

发表评论
更多 网友评论0 条评论)
暂无评论

访问排行

Copyright © 2012-2014 恰考网 Inc. 保留所有权利。 Powered by tikuer.com

页面耗时0.0327秒, 内存占用1.05 MB, Cache:redis,访问数据库20次