某公司计划对某一项目进行投资,投资额为300万元,期限为5年,每年净现金流量分别为150万元、200万元、200万元、100万元、200万元。假设资本成本...

作者: tihaiku 人气: - 评论: 0
问题 某公司计划对某一项目进行投资,投资额为300万元,期限为5年,每年净现金流量分别为150万元、200万元、200万元、100万元、200万元。假设资本成本率为10%。该项目的净现金流量及复利现值系数如下表所示。 假设投资额和净现金流量不变,则贴现率高低对净现值的大小有重要影响。在下列关于此问题的阐述中,正确的是( )。
选项 A、贴现率越高,净现值越大 B、贴现率越高,净现值越小 C、贴现率越高,净现值越小 D、当项目风险大时,应选择高的贴现率
答案 BCD
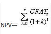
解析 本题考点净现值的相关内容。根据 可知贴现率和净现值成反比,所以选项B正确,选项A错误。选项CD的表述都是正确的。

相关内容:公司,计划,项目,投资,投资额,300万元,期限,现金流量,150万元,200万元,100万元,假设,资本,成本

猜你喜欢

发表评论
更多 网友评论0 条评论)
暂无评论

访问排行

Copyright © 2012-2014 恰考网 Inc. 保留所有权利。 Powered by tikuer.com

页面耗时0.0298秒, 内存占用1.05 MB, Cache:redis,访问数据库18次